Dividende
Modelul de discount al dividendelor (DDM): Ce este și la ce folosește?

Cuprins
Evaluarea acțiunilor poate fi o sarcină dificilă și plictisitoare. Multe modele de evaluare sunt compuse din numeroase variabile și estimări anterioare, ceea ce face ca rezultatele să nu se potrivească ulterior cu realitatea viitoare. Acest articol prezintă una dintre cele mai simple metode de evaluare bazate pe fluxuri de numerar: modelul de discount al dividendelor, în engleză Dividend Discount Model (DDM).
Modelul DDM este una dintre cele mai utilizate metodologii în domeniul finanțelor pentru evaluarea acțiunilor. Utilizarea acestuia se datorează faptului că mai devreme sau mai târziu toate companiile tind să plătească dividende și că reinvestirea acestora, la rândul său, crește dividendele viitoare.
Ce este modelul de discount al dividendelor si cum se calculează?
Modelul de discount al dividendelor se bazează pe presupunerea că valoarea unei acțiuni este egală cu suma tuturor dividendelor viitoare așteptate, actualizate la valoarea prezentă.
Modelul DDM poate fi exprimat matematic prin următoarea formulă:

Unde:
- P este prețul țintă
- Do este dividendul actual
- k este rata de discount
- g este rata de creștere a dividendului
- i este numărul de ani.
După cum se poate observa, cu foarte puține variabile se poate obține valoarea prețului acțiunii.
- Dividende: sunt plățile în numerar sau prin acțiuni pe care o companie le face acționarilor săi.
- Rata de discount: este rentabilitatea minimă pe care investitorii o cer pentru a investi în companie.
- Rata de creștere: indică creșterea așteptată a dividendelor de-a lungul timpului.
Modelul de Discount al Dividendelor (DDM) este un instrument cheie pentru evaluarea acțiunilor cu dividende.
👉 Dacă înainte de asta, vrei să începi într-un mod mai simplu, îți recomand să vizitezi ghidul nostru pentru începători în investiții în dividende: Ghid investiție în Dividende: ce sunt și tipuri
Două versiuni ale DDM
Deoarece formula anterioară este o sumă infinită, modelul DDM este simplificat și mai mult luând anumite ipoteze.
2.1. Modelul de creștere constantă
Modelul de creștere constantă, cunoscut și sub numele de modelul Gordon-Shapiro (publicat în 1956 de economiștii Myron J. Gordon și Eli Saphiro), presupune că dividendele vor crește la o rată constantă pe termen nelimitat.
Cu această ipoteză, ecuația anterioară se exprimă astfel:

Unde:
- P este prețul țintă
- Do este dividendul actual
- k este rata de discount
- g este rata de creștere a dividendului
Exemplu
Cu un exemplu se explică mai bine cum funcționează formula. Să presupunem o companie americană cu aceste date:
| Dividend actual | Rata de discount | Rata de creștere | |||
|---|---|---|---|---|---|
| $2 | 6% | 3% |
| Dividend actual | Rata de discount | Rata de creștere |
| $2 | 6% | 3% |
Prin introducerea acestor valori în formulă, putem calcula valoarea intrinsecă după cum urmează:
- Preț = $2* (1+0,03) / (0,06 - 0,03) = $68,66
Prin urmare, conform acestui model, valoarea intrinsecă a acțiunilor ar fi de $68,66 pe acțiune. Acest lucru înseamnă că dacă cotația companiei este sub $68,66 înseamnă că compania este subevaluată. În schimb, dacă este peste $68,66 indică faptul că este supraevaluată.
După cum se observă, într-un mod simplu se poate obține valoarea companiei. Cu toate acestea, modelul este foarte sensibil la rata de discount și rata de creștere. Alegerea corectă a acestor două valori este determinantă.
În acest tabel sunt prezentate diferitele valori ale prețului acțiunii în funcție de schimbările ratei de discount:
| Dividend Actual | Rata de discount | Rata de creștere | Preț Final | ||||
|---|---|---|---|---|---|---|---|
| $2 | 6% | 3% | $68,66 | ||||
| $2 | 7% | 3% | $51,5 | ||||
| $2 | 8% | 3% | $41,2 | ||||
| $2 | 9% | 3% | $34,33 |
| Dividend Actual | Rata de discount | Rata de creștere | Preț Final |
| $2 | 6% | 3% | $68,66 |
| $2 | 7% | 3% | $51,5 |
| $2 | 8% | 3% | $41,2 |
| $2 | 9% | 3% | $34,33 |
Și în acest tabel sunt prezentate prețurile diferite la schimbările în rata de creștere a dividendului:
| Dividend Actual | Rata de discount | Rata de creștere | Preț Final | ||||
|---|---|---|---|---|---|---|---|
| $2 | 6% | 3% | $68,66 | ||||
| $2 | 6% | 4% | $104 | ||||
| $2 | 6% | 5% | $210 | ||||
| $2 | 6% | 6% | Eroare |
| Dividend Actual | Rata de discount | Rata de creștere | Preț Final |
| $2 | 6% | 3% | $68,66 |
| $2 | 6% | 4% | $104 |
| $2 | 6% | 5% | $210 |
| $2 | 6% | 6% | Eroare |
După cum se poate observa, este critic să alegem o rată de creștere a dividendului adecvată, deoarece afectează semnificativ calculul prețului. În plus, rata de discount trebuie să fie întotdeauna mai mare decât rata de creștere pentru ca modelul să ofere o valoare.
Companii mature
Acest model este deosebit de util pentru companiile stabile și mature care au un istoric constant de plată și creștere a dividendelor, cum sunt aristocrații și regii dividendelor.
Îți las câteva exemple de astfel de companii:
| Companii | Ticker | ISIN | |||
|---|---|---|---|---|---|
| Realty Income | O | US7561091049 | |||
| Kenvue | KVUE | US49177J1025 | |||
| Chevron Corp | CVX | US1667641005 | |||
| Xcel Energy | XEL | US98389B1008 | |||
| IBM | IBM | US4592001014 |
| Companii | Ticker | ISIN |
| Realty Income | O | US7561091049 |
| Kenvue | KVUE | US49177J1025 |
| Chevron Corp | CVX | US1667641005 |
| Xcel Energy | XEL | US98389B1008 |
| IBM | IBM | US4592001014 |
Amintește-ți că poți investi și în ansamblul acestor aristocrați ai dividendelor, prin intermediul ETF-urilor. Îți las și câteva exemple.
| ETF-uri | Ticker | ISIN | |||
| SPDR S&P US Dividend Aristocrats UCITS ETF Dis (EUR) | SPYD | IE00B6YX5D40 | |||
| Lyxor S&P Eurozone ESG Dividend Aristocrats (DR) UCITS ETF - Dist | LGQH | LU0959210278 | |||
| SPDR S&P Global Dividend Aristocrats UCITS ETF |
| ETF-uri | Ticker | ISIN |
| SPDR S&P US Dividend Aristocrats UCITS ETF Dis (EUR) | SPYD | IE00B6YX5D40 |
| Lyxor S&P Eurozone ESG Dividend Aristocrats (DR) UCITS ETF - Dist | LGQH | LU0959210278 |
| SPDR S&P Global Dividend Aristocrats UCITS ETF |
2.2. Model în mai multe etape
Pentru companiile care distribuie dividende, dar care încă nu sunt în faza de maturitate completă, există o extensie a modelului Gordon-Shapiro: modelul de discount al dividendelor (DDM) în mai multe etape .
Acest model ia în considerare diferitele etape prin care trece o companie, care includ perioade de creștere ridicată, faze de tranziție și etape de creștere stabilă. Modelul estimează valoarea prezentă a dividendelor așteptate în fiecare dintre aceste etape și, ulterior, le adună pentru a calcula valoarea totală a acțiunii.
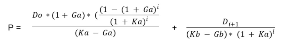
Pentru a facilita acest lucru, în acest articol este prezentat modelul în două etape:

Unde:
- Dt este dividendul în anul i,
- Ga este rata de creștere în prima perioadă
- Gb este rata de creștere în a doua perioadă
- Ka este rata de discount în prima perioadă
- Kb este rata de discount în a doua perioadă
- i este numărul de ani din prima perioadă.
Să presupunem o companie americană cu aceste date:
| Dividend | $10 | ||
| Ka | 5% | ||
| Ga | 3% | ||
| Kb | 6 | ||
| Gb | 2,5% | ||
| i | 5 | ||
| Preț | $375,4 |
| Dividend | $10 |
| Ka | 5% |
| Ga | 3% |
| Kb | 6 |
| Gb | 2,5% |
| i | 5 |
| Preț | $375,4 |
Din nou, valoarea intrinsecă a companiei este de $375. Sub această valoare, compania ar fi ieftină. În schimb, dacă cotația este peste $375, compania este supraevaluată.
Avantajele și limitările modelului de discount al dividendelor (DDM)
Ca orice model matematic, modelul DDM are avantajele și dezavantajele sale.
| Avantaje | Dezavantaje | ||
| ✅ DDM este relativ ușor de înțeles și de calculat o valoare a prețului unei companii, ceea ce îl face un instrument accesibil și rapid pentru investitori și analiști. | ❌ Modelul nu este valabil pentru companii care nu distribuie dividende. | ||
| ✅ Este deosebit de eficient pentru evaluarea companiilor cu un istoric stabil de dividende. | ❌ Modelul este foarte sensibil la schimbările ratei de discount și a ratei de creștere, influențând semnificativ valoarea calculată a acțiunii. |
| Avantaje | Dezavantaje |
| ✅ DDM este relativ ușor de înțeles și de calculat o valoare a prețului unei companii, ceea ce îl face un instrument accesibil și rapid pentru investitori și analiști. | ❌ Modelul nu este valabil pentru companii care nu distribuie dividende. |
| ✅ Este deosebit de eficient pentru evaluarea companiilor cu un istoric stabil de dividende. | ❌ Modelul este foarte sensibil la schimbările ratei de discount și a ratei de creștere, influențând semnificativ valoarea calculată a acțiunii. |
În concluzie, modelul de discount al dividendelor (DDM) este un instrument fundamental în evaluarea acțiunilor care oferă o metodologie clară pentru a estima valoarea intrinsecă a unei companii bazată pe fluxurile sale de numerar viitoare.
Deși prezintă unele limitări, aplicabilitatea sa în analiza companiilor cu dividende stabile îl transformă într-un pilon important în finanțele moderne.