Analiza fundamentală
VAN (Valoarea Actuală Netă): Formula si cum se folosește

Valoarea Actualizată Netă (VAN), sau NPV, conform acronimului din engleză (Net Present Value), este o metodă simplă și foarte cunoscută pentru a determina dacă ne interesează să demarăm un proiect de afaceri sau investiție.
Când intenționăm să realizăm un proiect de afaceri, este necesar să calculăm mai întâi profitabilitatea sau ce beneficii ne va aduce în viitor.
Așadar, este logic să ne gândim că proiectul trebuie să aibă o profitabilitate superioară dobânzii fixe fără risc disponibilă pe piață. Dacă acest fapt nu se întâmplă, cel mai bine este să nu ne complicăm viața cu implementarea unei investiții, cu toate bătăile de cap pe care le implică.
Putem înțelege acest lucru astfel: Când dobânda fixă fără risc oferă o rentabilitate mai mare decât proiectul, înseamnă că cel mai simplu și confortabil este să investim în titluri de stat sau în obligațiuni corporative (cu risc foarte scăzut). Acest lucru, în loc să alocăm capital în proiectul analizat.
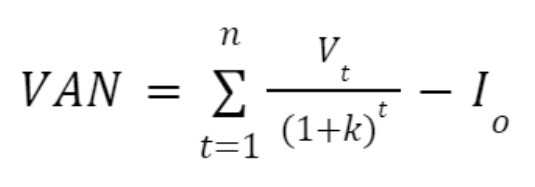
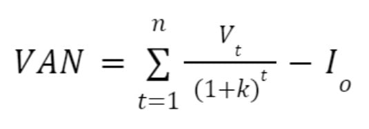
Formula VAN
VAN se calculează ca valoarea prezentă a fluxurilor de numerar libere așteptate care se generează prin investiție, minus investiția inițială. Astfel, variabilele pe care trebuie să le cunoaștem sunt următoarele:
Io = Investiția inițială monetară în prezent
Vt =fluxuri de numerar viitoare în fiecare perioadă t
n = numărul de perioade de valabilitate a proiectului
k = tipul de dobândă al rentei fixe

👉 Pentru mai multe informații: Analiza fundamentală pe bursă: rații, metode și tipuri de companii
Interpretarea VAN
- VAN>0
- Proiectul prezintă rentabilități superioare dobânzii fixe fără risc. Proiectul trebuie acceptat.
- VAN=0
- Proiectul egalează rentabilitatea venitului fix fără risc. Prin urmare, trebuie luate în considerare anumite beneficii pentru a-l accepta, cum ar fi imaginea de marcă, poziționarea companiei, etc.
- VAN<0
- Proiectul nu îmbunătățește rentabilitatea dobanzii de stat și, prin urmare, nu ar trebui acceptat.
Înțelegerea VAN
Ceea ce am realizat este descontarea fiecărui flux de numerar viitor cu rata dobânzii venitului fix. În acest fel, toate fluxurile sunt aduse la momentul prezent pentru a le scădea din investiția originală. Astfel, se obține VAN sau Valoarea Actuală Netă, care este o măsură a rentabilității așteptate în valoare absolută și actuală.
Este evident că, pentru acceptarea unui proiect de investiții, trebuie luați în considerare o multitudine de factori care nu sunt cuprinși în VAN. Dar este un bun punct de plecare pentru a lua în considerare un proiect.
O variantă a formulei apare atunci când VAN este egalat cu zero și calculăm Rata Internă de Rentabilitate. Aceasta este rata dobânzii pe care ne-o raportează proiectul și, din nou, trebuie să fie superioară ratei dobânzii venitului fix fără risc.

👉 Pentru mai multe informații: Ce este și la ce servește evaluarea prin actualizarea fluxurilor de numerar (DFC)?
| Avantajele utilizării VAN | Dezavantajele utilizării VAN | ||
|---|---|---|---|
| Este simplu de aplicat. | Valoarea lui K este necunoscută în viitor. De aceea, trebuie utilizată o rată medie a dobânzii. Se poate folosi curba ETTI (Structura Temporală a Ratelor Dobânzii), costul capitalului al companiei sau costul de oportunitate. | ||
| Ține cont de valoarea banilor în timp, pentru a putea compara fluxurile de numerar în perioade diferite. Astfel, este necesar să le facem omogene la aceeași dată (prezentul). | Proiecțiile pot eșua. Veniturile pot fi mai mici decât se aștepta sau cheltuielile pot depăși estimările, ceea ce ar duce la fluxuri de numerar mai mici, afectând VAN-ul. | ||
| Rezultatul său este o mărime care reflectă valoarea generată de investiție. Acest lucru, spre deosebire de TIR, care oferă un procentaj. | Termenul proiectului poate varia, la un moment dat în dezvoltarea sa, în raport cu ceea ce a fost inițial planificat. | ||
| Permite compararea proiectelor cu caracteristici diferite. | Ipoteza de reinvestire a fluxurilor nete de numerar la aceeași valoare K poate să nu fie îndeplinită. |
| Avantajele utilizării VAN | Dezavantajele utilizării VAN |
| Este simplu de aplicat. | Valoarea lui K este necunoscută în viitor. De aceea, trebuie utilizată o rată medie a dobânzii. Se poate folosi curba ETTI (Structura Temporală a Ratelor Dobânzii), costul capitalului al companiei sau costul de oportunitate. |
| Ține cont de valoarea banilor în timp, pentru a putea compara fluxurile de numerar în perioade diferite. Astfel, este necesar să le facem omogene la aceeași dată (prezentul). | Proiecțiile pot eșua. Veniturile pot fi mai mici decât se aștepta sau cheltuielile pot depăși estimările, ceea ce ar duce la fluxuri de numerar mai mici, afectând VAN-ul. |
| Rezultatul său este o mărime care reflectă valoarea generată de investiție. Acest lucru, spre deosebire de TIR, care oferă un procentaj. | Termenul proiectului poate varia, la un moment dat în dezvoltarea sa, în raport cu ceea ce a fost inițial planificat. |
| Permite compararea proiectelor cu caracteristici diferite. | Ipoteza de reinvestire a fluxurilor nete de numerar la aceeași valoare K poate să nu fie îndeplinită. |
Calculul VAN cu Excel
În aplicația Excel, foarte răspândită printre utilizatori, se găsește în formulele financiare funcția VNA (echivalentă cu formula NPV în foile de calcul disponibile pe Google Drive) care returnează Valoarea Actuală Netă dintr-o serie de fluxuri și o rată de discount. Trebuie avut în vedere că în Excel plățile viitoare au loc la sfârșitul perioadei. De aceea, nu trebuie să includem investiția inițială în matricea de plăți și se adaugă valoarea separat (cu semn negativ deoarece este o ieșire de bani).