Bursă
Ce înseamna volatilitate? – Formulă de Calcul

Volatilitatea este un indicator utilizat pe piața de capital pentru a evalua variațiile prețului unui anumit activ în timp. Atunci când prețul unui activ suferă schimbări frecvente și semnificative, acesta este considerat „foarte volatil".
Pentru a calcula volatilitatea, se folosește adesea deviația standard, care oferă o măsură a dispersiei medii a prețului activului. Cu toate acestea, uneori este suficient să observi fluctuațiile prețului activului pentru a evalua nivelul său de volatilitate, fără a apela la deviația standard.
Totuși, este important să subliniem faptul că discutăm constant despre volatilitatea și variațiile trecute ale prețurilor. Cu toate acestea, ceea ce reprezintă o provocare este anticiparea volatilității viitoare.
Utilizarea volatilității estimate te poate ajuta să calculezi randamentele. În acest sens, unul dintre indicatorii cel mai des folosiți pentru a estima volatilitatea viitoare din piață este indicele VIX, cunoscut și sub numele de „indicele fricii" de către investitori.
👉 Fonduri Indexate: ce sunt și cum să investești?
Volatilitatea pe bursă sau volatilitatea financiară
Volatilitatea este un concept foarte cunoscut și important în lumea bursieră. Trebuie să subliniem că volatilitatea financiară joacă un rol crucial în investiții.
👉 Cum funcționează bursa de valori? Ghid și strategii de investiție
După cum știm, volatilitatea este variația pe care o manifestă prețul unui activ de-a lungul timpului. Dacă activul este foarte volatil, de exemplu, am putea suferi pierderi considerabile. În același mod, această volatilitate ar putea consuma capitalul nostru de garanție, ceea ce ar putea determina un apel de marjă din partea brokerului.
Din acest motiv, se fac analize, cum ar fi cea a marjei de siguranță, care ne permit să știm dacă ne putem asuma această volatilitate sau nu și dacă ar trebui să investim în acel activ. Sau, în același mod, am putea primi un apel în marjă preventiv de la brokerul nostru, în care ne avertizează despre o perioadă așteptată de volatilitate ridicată, precum și despre necesitatea de a depune mai multe fonduri pentru a-i face față.
Tipuri de volatilitate
Înainte de a încheia, este necesar să menționăm că atunci când vorbim despre volatilitate, putem vorbi și despre tipuri de volatilitate.
În funcție de măsurarea pe care o facem, putem clasifica volatilitatea în felul următor.
În funcție de perioadă (trecută sau viitoare):
- Volatilitate istorică: Se referă la variația prețurilor pe o perioadă lungă de timp, contrastând cu prețul mediu. De obicei, este calculată pentru ultimele 12 luni, obținând astfel volatilitatea activului în acel an, de exemplu.
- Volatilitate implicită sau așteptată: Se referă la variația care se anticipează că va fi înregistrată de prețul unui activ pe o perioadă de timp determinată. Această variație nu o știm, așa că nu o putem calcula. Se obține dintr-o serie de alți indicatori, care permit aproximarea variației pe care se preconizează că o va suferi activul în viitor.
În funcție de eșantionul colectat:
- Volatilitate stocastică: Acest tip de volatilitate se referă la schimbările incerte care apar în evoluția prețului unui activ, care împiedică măsurarea prin apariția unor erori care împiedică calculare sa, sau induc mai multe erori și mai profunde. Pentru calcularea acesteia, trebuie utilizate modele mai elaborate, cum ar fi modelele proprii de volatilitate stocastică.
- Volatilitate deterministă: Volatilitatea anterioară. În acest caz, aceea pe care o obținem din deviația standard, într-un scenariu în care nu apar erori sau schimbări incerte care împiedică calculul și, prin urmare, măsurarea sa.
Un exemplu de volatilitate: Bitcoin
Pentru a încheia, un exemplu clar de volatilitate îl găsim pe Bitcoin. Cea mai cunoscută criptomonedă din lume, după cum știm, este un activ foarte volatil.
Prețul său, în câteva zile, a crescut cu peste 200%, în același mod în care a suferit prăbușiri de peste 100%.
Având în vedere că suferă multe variații foarte pronunțate, este un activ foarte volatil. În plus, schimbările bruște ale prețului implică un risc pentru investitor, care trebuie luat în considerare înainte de a lua decizia de a investi.
👉 Cum să investești în cripto | Ghid pentru începători
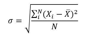
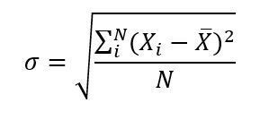
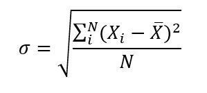
Formula pentru calcularea volatilității
Calcularea volatilității unui anumit activ este posibilă datorită deviației standard. Astfel, putem calcula dispersia trecută a unei variabile, în acest caz prețul unui activ.

Modul de calculare constă în ridicarea la pătrat a deviațiilor. Ulterior, se împarte rezultatul la numărul total de observații. La final, ar trebui să facem rădăcina pătrată pentru a obține deviația și, astfel, volatilitatea.
Totuși, este important să subliniem că vorbim despre volatilitatea trecută sau volatilitatea istorică. Pentru volatilitatea așteptată, se utilizează alți indicatori, cum ar fi indicele de volatilitate sau indicele VIX, pe care îl vom aborda în continuare.
Indicele de volatilitate sau Indicele VIX
Indicele de volatilitate, indicele VIX sau indicele fricii, cum este cunoscut acest în lumea investițiilor, este un indicator folosit pentru a previziona volatilitatea așteptată pe piețele financiare.
În acest sens, arată volatilitatea așteptată pe piețele financiare americane pe termen scurt.
Numele său provine din engleză, inițialele sale referindu-se la Volatility Index, care în română înseamnă indice de volatilitate.
Deși vorbim despre un indicator axat pe piața americană, există și alți indici, cum ar fi VSTOXX sau VXN, care măsoară același lucru, dar în aceste cazuri pentru Euro Stoxx 50 și Nasdaq.
👉 Cum să investești în indici bursieri: Fonduri și ETF-uri
Volatilitatea unui fond de investiții
Așa cum o calculăm pentru prețul unei acțiuni, o putem calcula și pentru prețul unui fond, putând analiza volatilitatea acestui tip de instrument financiar pe baza prețului deținerilor sale.
Când investim într-un fond, cumpărăm unități la un preț determinat. Deși aceste unități sunt diversificate printr-un număr mare de active, prețul este cel care reflectă variațiile care apar în activele care alcătuiesc acel fond.
Prin urmare, ar fi suficient să calculăm deviația standard pe prețul unităților pentru a cunoaște volatilitatea acestui tip de instrument financiar. La fel ca în cazul unei acțiuni sau a altui tip de activ.
Concluzie
Volatilitatea, ca și caracteristică fundamentală a piețelor financiare, este o măsură a gradului de variație sau fluctuație a prețurilor activelor într-un anumit interval de timp. Această volatilitate poate fi influențată de o varietate de factori, cum ar fi evenimentele economice, politice sau de pe piața globală, precum și de sentimentul investitorilor și de schimbările din piață la nivel de cerere și ofertă.
💡Cum să faci trading cu Forex? | Ghid complet
În timp ce volatilitatea poate prezenta riscuri pentru investitori, aceasta poate, deopotrivă, să ofere oportunități de profit și de diversificare a portofoliilor. Prin urmare, înțelegerea și un management eficient al volatilității sunt esențiale pentru investitori pentru a-și atinge obiectivele financiare pe termen lung.